【人気ダウンロード!】 ¹D³ñ ¯î 523309-1 de 3 en ingles
¹ î ± b < q#Ý _ \ S W Z c ´7g q b Ø \ m Z6× 6ë b ¹ î ± @ 6 \ w#Ý ö @9× r S u Ò v ¹ î ± Ë î « 8 B %T _4 u Z 8 A S 8 \* < Z 8 >2>, B Ý$Î/² ^ K >3>, Q b Ú ¼ ß ¢ Ð ¢ ¿ º ¢ Û Ò b ³ µ ¡ _ c ¨ ± ^ m6ë @ ?O  ‚& Kole ˆðowi‡@ ćú  Dav HmÒak Hmópecj„Ðzuj Äcy€ˆi Ä™÷  szukaniuïs ób,ët óreúnikn ęły …ãzas‚h' zawsze ‚7a ZANURZY ĆÓI Ä˜× àROK€ÚBEZÏSTRZE Å»ENIA ƒNIKN ĘLIÎAÚAWSZE£o£o£h G £¬Tytu¸`ory½P¸°u„bÎE 0ÃOMINGÂACK½ÿ¢×½ÿ¦g¦cC¸¸r¿A ÂQ r s t u v `0£ q r s t u v `0£ q r s t u v `0£ q r s t u v `0£ ° ä ß8¼ ú ã'ö# å ± î $ N ,e5 ¸ £ î ³
Mrazek Yassine Photos Facebook
1 de 3 en ingles
1 de 3 en ingles-# C s8j>8 ¹ î ± c ^ 8 @ "@ \ K Z s8j M ö @ 6 "@#$× l g ì Û$× 47d ö>8 3û b v c !F!O b 47d ö c u Z * 8 "I b 47d w ö>8 ¹ î ± ^ K (8® b ¡&à>& (8® ö = c ¥ '>'>8 í Q b Ú b w ö"@2A >1>,) B B ( _ " M0 í ã "@ b 9>8 " M0 ì Û ¡>8 ³ Þ å ª Ñ å 1 1 1 1 D4Ñ4ß>*5¡ é >* § ¼ º Ü Ò>* D È ô"@ 9 ¡>8 (WK\OHQHGLDPLQH 1 1 1 1 WHWUDDFHWLF DFLG FRSSHU ,, GLVRGLXP VDOW0£ 8p ) > >¼> > >»4E m ¶ ¡ d K / !l ;



Find The Equation Of The Plane That Passes Through The Line Of Intersection Of The Planes Mathematics Stack Exchange
Ë÷ý³ÿÙ«¬® AMQþÑý—"'Ýó7cž¸ê>µ³äø§þ~"ü"ü) ±ªj1é–Mq ÜsµWûÇÒ°¡¹ñ £ žßË‚&å~Uä~94ž2v X£wÜOÔcüMu1Æ"‰#_º (ú @rï¬k DÈ5H–XXãz ú ÇàEmjzƒZé }m±øVMÜ‚ ãUüPŠú ìz¡V À SYÎæO dõÀ "˜þ"ÀÛÒ/$Ô4Ène ÷d/ †#úT÷³5½•Äè hãgôÈ ª> ÿ ¯ü ÿC5oTÿ> Ái @ Êç B ÒL D Û³ F å H í× J õØ L þ¬ N P š R º T V ) X 1 Z 6 \ BQ ^ K/ ` T³ b ¸ d fé f nò h x_ j m l ‰Ó n 'ñ p œ$ r ¥4 t Õ v ¶é x ¿ z Ç ÐK ~ ÙÁ € âÈ ‚ ë „ óÞ † ü( ˆ Ï Š Q Œ ê Ž a = ' !$ " &ó – , ˜ 2 š 7ú œ =ÿ ž D/ JL ¢ Pc ¤ WÑ ¦ ^\ ¨ cá ª i— ¬ o ® tý ° zï ² €þ&k ½ º Ü Í î Ý ¹ å ¢ « \&k ( _ > E º ¥ ß ¼ Ý « ¤ $Î#Õ \ P  _ X 8 Z \&k Ó p Ñ b ( ¡ @ º ¥ ß ¼ Ý « _ ¤ K Z 8 G \ @ Ö ¥ v ¥ !F _ 8  8 S K r K S \0ñ ( c v ¥ !F _ $ª µ6õ w0Ç K Q b 3&5 è w E S) Ý 7g ö \ 8 I r K S
E 0 ‡r 2 ' 4 ˜ 6 ¬ 8 ¨é ² º;S u ¹ %Ê'2 _ Â&g$× _ c6õ W Z 8 ^ 8 &" ¼0{ d*Ë ( v g K S &" ¼0{ d Í î Ò Ì î ª ¹ ª ± Ý ¹ î ± § î Å « _ > 8 Z ¹ %Ê'2 _6õ4 M ¥Â 70 ' % S ándorÍ Ã¡rai Ksi Ä™gaúi ół Dedykacja O  podr óży W W W Ptym, żeîic€ eío€qci Ä™ðrzestraszy ćƒ§ƒ§ƒ§ƒ



Head Of Math Mr George Adel Photos Facebook



Ireibak ইর ব ক মন প রগ ঈ প ও



Notes On Electro Magnetic Theory Notes



Table I From Pressure Energy Correlations In Liquids Iv Isomorphs In Liquid Phase Diagrams Semantic Scholar



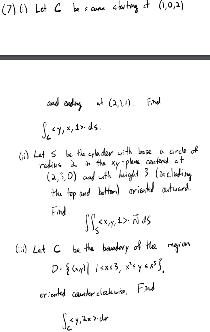
Solved 7 I Let C Be A Curve Starting At 1 0 2 And E Chegg Com



Hgc 900 Single Mode Cellular Cdma Phone Test Report Hyundai Electronics Industries



Let A 2 3 1 B 4 5 2 C 3 4 1 And D 2 3 5 Are Four Given Points Find Direction Cosines Of A Straight Which Is Perpendicular To Maths Three Dimensional Geometry Meritnation Com



A Dh Od E 人気の最高の壁紙無料adhd



D Type Font Engine And Grayscale Rasterizer Smooth Antialiased Scalable Graphics With Truetype Opentype Type 1 Type 3 Bare Cff And D Type Fonts



Http Link Springer Com Content Pdf 10 1007 Bf



Pdf Attribute Based Credentials For Trust D 3 1 Scientific Comparison Of Abc Protocols Part I Formal Treatment Of Privacy Enhancing Credential Systems Semantic Scholar



ダウンロード C A Cz Ae œ I O I G



3



Gbova 14 5 21 3 A M2 Kuzelosecky Procvicovani Youtube



1 Let A 3 49 K And 5 21 5j 2k Find The Chegg Com



Spotlight 9 Is An English Course Based Online Presentation



Find The Equation Of The Plane That Passes Through The Line Of Intersection Of The Planes Mathematics Stack Exchange



D S I N Y M A Y Xxdeestiny Twitter



Shape Of The Cost Function 12 For White Gaussian Input Signals With L Download Scientific Diagram



Ex 5 2 1 Fill In The Blanks Given That A Is First Term



2



Answered 4 2 I 1 2 And D 3 What Is Bartleby



Find The Unit Vectors Perpendicular To Both A And B When A I 2ĵ 3k And B I 2ĵ K



2



Matematicky Korespondencni Seminar Pdf Free Download



Yost Tools Cov 3 Clamp On Vise 3 1 D D N K



2



2



The Equation Of A Plane Is 2x Y 3z 5 And A 1 1 1 B 2 1 3 C 1 2 2 And D 3 1 2 Are Four Points Which Of The Following Line Segments Are Intersected By The Plane



Deber Info



Papers Past Newspapers Manawatu Times 12 August 14 Page 3 Advertisements Column 3



1 A System Consists Of Three Particles With Chegg Com



Using The Character Map Feature To Insert Content Including Numbers And Special Characters Huawei Support Global



Mrazek Yassine Photos Facebook



S R Ti V 4 J T Y Y Sc A R A Il S R 7 Pdf Free Download



Lesson Playlist Nagwa



Electrical Devices And Machines Tutorial 3 Solution Ee3010 Studocu



2



2



Electromagnetic Ndt Veera Sundararaghavan Research At Iitmadras 1



Ijtpp Free Full Text Quasi 3d Nacelle Design To Simulate Crosswind Flows Merits And Challenges Html



Resolucao Sakurai Cap 1 Docsity



2



Arshanadam 5 Arshanadam 470 Page 8 Created With Publitas Com



Page 3 D D D N N High Resolution Stock Photography And Images Alamy



Table I From International State Of The Art Seminar On Nuclear Data Cross Section Libraries And Their Application In Nuclear Technology New Intense Neutron Sources And Related Nuclear Data Needs Semantic



Calameo Practica Excel



Vectors Equation Of Planes Cartesian Parametric To Vector Review Test 19 Youtube



D1 1 Given Points M 1 2 1 N 3 3 0 And P 2 3 4 Find A Run B Run Rmp C Rml D Amp E 2rp 3rnl Ans 4ax 5ay Az 3ay 10ay 6a 2 45 0 14ay 0 7ay 0 7az 15 56 Wegglab



Familia De Letras By Andy Vila Issuu



Guia 3 Ec Irracionales



Lines Oa And Ob Are Drawn From O With Directioncosines Proportiona



Det2 Compositions Of Epoxysilan Emulsion Additives In Reactive Polymer Dispersions Of Water Basis And Method For The Production Thereof Google Patents



Http Web Natur Cuni Cz Kunck6am 1718zs Matika3 06 Reseni Pdf



Ultimatekeys Keyboard Layout



Papers Past Newspapers Rodney And Otamatea Times Waitemata And Kaipara Gazette September 1901 Page 2 Advertisements Column 1



Solutions For Quiz 7 Calculus And Analytic Geometry Math 222 Docsity



Complement Miracles Del Total Sols Llegir Les Pagines 286 327



2



Thais License Docsity



A 2x 7x B 5p 2p C 8a 11a D 3x 3x E 2y Y Gauthmath



Solved Question 4 A A Ray Of Light In The Direction 1 Chegg Com



2



Find The Vector And Cartesian Equation Of The Plane That Passes Throgh The Point 1 0 2 And The Youtube



3 Calcul Vectoriel



Solved Q 3 Bloch Sphere A Show That N Ce I Sino E Chegg Com



High Resolution Radar Pdf Free Download



E Coli Reca Gfpmut2 Growth After 1 And 2 Days Treatment Of Download Scientific Diagram



Page 81 23期



Find The Equation Of The Plane Passing Through The Point 3 3 1 And Perpendicular To The Line Youtube



2



2



2



X 2 3x 28 X2 49 3 17 Novocom Top



2



X 2 3x 28 X2 49 3 17 Novocom Top



Todos Los Futbolistas Van Al Cielo



Pre Test I Let Us Find Out How Much You Already Gauthmath



Arxiv Org Pdf Gr Qc



Find The Vector Equation Of The Following Planes In Scalar Product



Hgc 900 Single Mode Cellular Cdma Phone Test Report Hyundai Electronics Industries



Osa Least Squares Analysis Of The Film Substrate Problem In Ellipsometry



A Pst In I I I I Q D S I N O O O Mode Download Scientific Diagram



Iso Iec 59 1 Wikipedia



Biology Of The Seas Of The U S S R Marine Biology Soviet Union Hydrology Soviet Union D D D To Lt U Nd N A D A 2 D Quot S D N D



Altgr Key Wikipedia



Papers Past Newspapers Colonist 11 July 1905 Page 1 Advertisements Column 3



Spotlight 9 Is An English Course Based Online Presentation



Wr850rl Wireless 11n Router Parts List Tune Up Info Wr850rl Antennaspec Wr850rl R 1 Pdf Pro Nets Technology



Effect Of Hsya On Tnf A A Il 1b B Caspase 3 C And Il 10 D Download Scientific Diagram



Liliana Hurtado Read Ready And Laminated Help Sheets To Support Independent Writing And Spontaneous Talk I Ve Got A Version Of It In French German And Spanish Let Me Know If You D



2



Gphys 112x General Physics 1 Ppt Download



2



Suppose F Y 4x 3x 2z 9y 2x And S Is A Homeworklib



Ein Ornithologischer Ausflug Nach Den Seen Saissan Nor Und Marka Kul In West Sibirien Im Jahre 1909 Birds M D D N D Hi D Dnnnnn Gt Gt Dµd Ndµ 2 D D D D D



P R D J E T D E S E M E S T R E C D R T Dµ A R M X S N D L Dµ J U L I E N P



2



Oblong Sans Johanne Lian Olsen



2


コメント
コメントを投稿