[新しいコレクション] ©]Ô X^h ºà ~mE 238589
December 06 65 Ý ¸ D Ë ³ P Ê H W > Ô ¿ À × Ô ñ Ë ³} Â QQ q ¿ ´h d t Ë ³ P Ê Ñ y D î Ý @ I J, ³u Ô ß Ë ³}E À â å À ¨ ½ æ Y 0 A ( æ Y ) e À â ó H { f þ s W B O J â À Ó º O 1 å À B Ó , > O 1 è ú1 â å À Î 2 J z å À Î < ¤ å À Î 3 ¹ Ä h È å À Î5 ý ² à ´ 7 ï D ' ç 3 a r × j 7 ê ä î , ã Ê ê " Ã > Ø f V Z À à m Ô ì N , Å Ó ç û * ³ q ´ ç û * ³ q b 5FM
Pdf Assessment Of Water Quality Of Ogun River In Southwestern Nigeria
©"]Ô X^"h º"à ~mE
©"]Ô X^"h º"à ~mE-H ç ô î º í î v í í ¥6ö1 ô H FÆFÂH FÛ º 3ÿ ì P'ÇFÃFûG G 3ÿ ìFþG2GoG GFFÇ % ® « è 6 ¯ R ´\ % ¯ « è R ´\Ø ê ® æ Ï\Ø V;ì ~ H Ô t ~ ð ù d y o H E A Å § ï » ¢ H Á M V º £ x µ Þ ý ¯ é Æ ¢ ç µ ò D ó o ¿ Ô ® è Ð ¯ ~ K M è Ô t y o H E A Å § ï » y y ð ù d



List Of Unicode Characters Wikipedia
3 h (biomass) ¨ c ^X e 1 Ç = ± ¤ x ¶ ð U 1 r Ç < t Å 1998 05 é Ã ô r p d h è õ8 ú ã Ï ± ¥ Û Ç = f 3 h ÇX ¿ » # ä î h & ç û ¸ W 3 û à y S ä z W m a } £ Ð P I û ñ $ 3 È Ô Þ Ñ 7 ñ ý £ Ð P ß ù ß Ý ù > º ¹ K ´ ¯ û ß % ( ¨ ã û ´ ¯ Ô ¯ ® À Ø à y ~ W Ë ´ ¯ û$3 C ` h Ô X ³ µ Â Ü w t $ $4 C ` h Ó æ ³ ã ï w î M w h Ø( ( ) $5 C ` h Ó æ ³ ã ï w î M w h Ø( È )
X 8 z è w b _&g i z 8 r m 5 gh ¹ b>Þ>ã º>â vh ² fég f¹fà '¨>ß 8×*ñ n4 ö 0£#ìh ¹ b>Þ>ä º>ß vh føfçfï m*Ë (fþ4 g ² /0£#ìfþ 8 bg" n4 fég f¹fà b ç ô>ß ºÀ × Ô ñ ³ Ñ É ù ¤ À × Ô ñ 8 º , 5 ý ¸ ³ ` ;¿ ¨ ì ë ½ ¨ f  « ô ß ñ Ð k ¡
à ´ Ð è Ã Ý W % b % !¦ 5 0d >8 B º* Ù > g1"&ï B º* Ù _6õ M (Ù 0 ET f'à dG 3ã H P7VH FéG e'vFÿ iFÝ>Ì % >& W0° f e0 b5 _ Â L Z % Ì î ª X v f>' 5 S 5 ù Ø º 0 Ý H % ¸ º 05 ô ñ ï #MBLOFZ # 3BZNPOE FJTUFS &DLIBSU " PSEFSO 5SBOTMBUJPO /FX PSL )BSQFS 5PSDICPPLT I ¹ d É ~ C I À ü Þ 0 _



2



2
Sh Ó·h È sss ss¨u sh Ó;ó·m sss ¬ ï U¢ÔvtÀ H º ·$ ÛËÓt â% ¸Û Ò Ó ¯ ¨Ê´tÝ sh Í sssÇ© Óh È͸ Ó;ó·m ´ ¯ Ö Ó È°³ þ´c t ¯ t §b ss ß " Û1 ¨ ¯ ÓÇ¢uÀ H Ò §bÂ Ô æ ;À ² D ~ ÿ ¹ × z ÿ 8 > ç à È ( 3 D Þ 4



Pdf Semiconductor Thin Films By Chemical Bath Deposition For Solar Energy Related Applications



2
H X À I ¯ Ø \ ¯ ;à _ I ¤ ô º ê l Q _ 0(*$ Ç ñ « Ù Ä81< µ Ý 5 Q _ µ Ý ¤ È Æ Ì Q _ 0(*$ Ç ñ « Ù Ä Ï 5 Q _ P ¤ Ï Ì Ð n _ Ç ñ « Ù Ä ô ã 5 Ð n _ ô ã ¤ è Ì Ð n _ 0(*$ Ç ñ « Ù Ä81< h Û Ò ¤ } W>Þ>Ü>Þ>Ü º>à v>Þ ¥>Ì 4 ' &kGUGFGMGyG GXGzGQGF>Ì H 4 ' &k>Ì Û iH >Ì > ü ù ?



2



Thermodynamic Equilibrium And Kinetic Fundamentals Of Oxide Dissolution In Aqueous Solution Journal Of Materials Research Cambridge Core
û Ö Ê h £ é à Ï í Þ ì ½ Ç = { Ä !E À â å À ¨ ½ æ Y 0 A ( æ Y ) e À â H d ¦ f þ s W B O J â À Ó º O 1 å À B Ó , > O 1 è ú1 â å À Î2 J z å À Î < ¤ å À Î3 ¹ Ä h È å À Î åM 7 j I Ä È Ý w Ý ² H I a ß Ý & X Þ v ý ' @ À L u E u D, 3 > ß à î r Ø ýs ¶ ¤ D X ¿ Ø I û X 5 ý ~ W < P Õ Ù ¹ × x 8 > Þ × J ü à L m Ë \ 8 º



Ruprecht Karls Universitat Heidelberg Pdf Free Download



Http Www Electrochemsci Org Papers Vol7 Pdf
ç ô º v ¥ ( ) Má&k K 2 Ç ¥ ç#Ý d S »# ¦ ó ( ¼ >& ¶ 3%,$ >' ç ô º Ø&k Ç M*ñ1n Ù 4 í4ê 1= b _ X 8 Z>& H L Æ>' Ï h ì W r M r M H ë& b G \ \ >H } m _ À × Ô ñ ( Ñ ¶ à ´ S º à d I w Ñ E º b b ;I ¡ Þ Ý x À æ Ô ý X I } Þ È d Ê D $ ÷ ¿ I « Õ û S 5 t È W D ¿ b Ê ó 8 4 á û ¹ 5 ² ý, y ¿ Õ D y u > > Þ à a 8 \ û S î ´ r D º Ð d ¤ Ý ¿ 3 5 ý I ' I & ( »



Global Energy Perspective 21 Energy Landscape Mckinsey



Www Ihes Fr Gromov Wp Content Uploads 18 08 Quantitative Homotopy Pdf
M/¡!l X/² GAG GW m/¡ ¡ $U X m/¡ S ¥ X m/¡ ¥ X 3?7T"á ¹ º⁄¿5uv$‹~' ˝¥º£ H$‹¤ º£ ü¸§¶˙ ¢5"$‹~ −¥º£ ~ªäm>0s(tuvì'5j5¤†‡)#5 í ä ;#FSLFZ , )BOTPO 4 ) 1PDLFU (VJEF UP 'BNJMZ "TTFTTNFOU BOE *OUFSWFOUJPO 4U PVJT PTCZ FBS #PPL $PIFO 4 8JMMT 5 "



On Stability Conditions For The Quintic Threefold Springerlink



2
W Û ( Ü $ % ¸ x)r ;'Ç ¶ ¹ ¦ û#ì1* z1" h*hkh /¡ ¡&à  À* ¹ 6ä$Î* &ã µ s 0d g )e)f h #Ý è0É /¡h h h 8>ó>ü>ÿ# c™ž m†L /PAVH˙ 9¢P jž m_uvŒy ¶˙ ¢P jH ± GTG GlFûFôFÔFö Ç X m >å>à >Þ>ã>Ñ >Ý>â>ä >à>å>Ñ >ß>å >Ý>Ý>Ñ >à>ß >Ý>ß>Ñ >ß>à>à >Ý>Ü>Ü>Ñ H H GeG{G>GwGn Æ FûFôFÔFö Ç X m Ç X m Ç X m



U4gg1kxs9lwobm



C In Tamil
J E i > o Ì Î ¥ ´ Î % £B C%=0c7d1\¶ ³à _ I ¤ ô º ê l Û B O Ç ñ « Ù Ä ô ã 5 Ð n _ ô ã ¤ è Ì Û B O 0(*$ Ç ñ « Ù Ä81< h Û Ò ¤ } W b U Q ¥ 5 Ð n _ h Û Ò ¤ \ Ì Û B O Ç ñ « Ù Ä P È ¢ ñ ½ 5 P Ð P ¤ È â Ï Ù Í X Ì



2



Search Assuming The X Axis Is Horizontal To The Chegg Com
´ ä ß ü ¸ ´ Ù ¢ Ô e Õ â ´ ¯ _ ¿ Ë & ´ ¯¨º à ³  m ¡ ù ¾º ì è ú À ó ¡ ñ ¢ è × ¡ ô ß þ Ç ¢ ð à û ¡ þ ó î ð è ¬ ó ¡ ¡ À ÿ ¨ ô ÷ ¢ ð ¬ m ¡ § Â Ç ¡) ¢ ô ß ù ð « ù ¤ x V ó ¡ § Á Ð ó ¡& ´ ¢ Ô ¾ Ë À Õ t Ø ¥ ´ µ " Ð û ´ Ù ¢ Ô ß ü ¸ â ¸ Û Ê Ç t Ë & Û Ç ¨ u ¢ Ë £ ~ h ß f m ¥ ´ ß a !



741 9 This Chapter Should Be Cited As Flato G J Marotzke B Abiodun P Braconnot S C Chou W Collins P Cox F Driouech S Emori V Eyring C Forest P Gleckler E Guilyardi C Jakob V Kattsov C Reason And M Rummukainen 13 Ev



Materials Free Full Text On The Finite Element Implementation Of Functionally Graded Materials Html
Q 0%5 T c À > W f Á c Ã Ì Ô X X ø W f d Ì Ô ¦ Ô Ì X ¢ Ô c à W f Á d ¦ Ô ü ² Ì Ï Ì Ô c à ¢ Ôº ´ , ã a ® x 0 q ¨ Þª à Æ\Ô d Ï = Ï\Ò\Ô\Í\É d\Ò\Á\Ð\Ù\ Ý í J\Õ\´\®\Ð ß < Ç\¶ Å Ç\Á\Ð\®\É\ì\Ø\Ø ¦ ~ þ \Ñ\·\õ\Ò \²\Ð\®\É\½\Ò\Õ



Www Theioi Org Downloads 5mmpq Ioi directory 18 Pdf



2
X ( ~ á E à ¿ 3 a r S î × Û x £ > 3 É S d Á À ² > b Ê Þ q ¹ @ H W ¸ I v Ó S × ´ > ý £ > S (  < x v À ² × d ¸ Ý @ º À Ñ Ù × D d ¸ Ø ( ì mS v w H ž ô º „ÖÖÖÖ Ì ÌÌÌŁ l ⁄ ° ˛ æ Œ ~ XE " ‰ ~ " ¡ 3 ‰ž • Xv w ‚ ßÙ v w l ⁄ K — • ' ZX fi~ X L Q – Ù D E fi‰F † fiD E s˚ v w F &' ßÚ ' ¡ — • Œ ‰Z C ' ‡3 ÿ ã h h Ë ä Ï Ø ´ b ´ 7 ÿ W y ª 2 L ´ ´ b ¶ L b Ï x à ´ b ± ê âMBC ç ¸ ± @ a R K % ´ 7 ÿ



2



Http Www Fao Org Fileadmin Templates Ess Ess Test Folder World Census Agriculture Country Info 10 Questionnaires Questionnaire 2 Tza Eng Que 07 08 Pdf
Ñ ( 3 > à W ñ X ¤ 8 J Þ I 3 ) ð à j ( à S D ` Ú 8 x × D ¿ 3 > â û S 8 j 5 ý K î Þ ¸ ù ¶ ª ¸ 8 v ª c Ó \ R 7 ( à D ¤ Ý 8 À ç E × à E 9 5 ý v Þ È Ê ´D b L & !à À H 1 I q » î ` d I d D È u × º À ( Ô ñ 8 q » î Ë I 7 à D L Ë £ ( ¨ z d 7 i ì Ñ É g è C 3 & Ì 5 t L, Â ;



2



Http Apps Who Int Iris Bitstream 13 Mar Pdf
º D Þ a > » À ( ³ Þ b & Ñ ´ ì D 3 ³ à ¶ ï Ë ³ × R Ý h \ » î I À Ë ³ × í ß 0 û } 8 I Þ È ø Ë Ø Â ø , ä á Í a % ÷ > b & ø û ì ¯ à 3 S × Ñ b & ø û ý Ê ¤Æ ù ¨ æ Ú ¹ U G V M Ô ù t x ´ x y X s { » w A q ð J Ñ ç Ü º ÷ » þ º w » w A $ t Ô b { » U * Ù å Ñ ç Ü º ÷ » t S M o × = U x T ^ À Q w ~ ³ × t 0~ 11 ~ ¢ ç  à ÷ ¡ ¾ Ï Á î ô ¬ { ù ö ³  ¬ ÷ ò ï ô ß î ó À ó ¡ ¢ n ¢ w ;



Citeseerx Ist Psu Edu Viewdoc Download Doi 10 1 1 1054 4939 Rep Rep1 Type Pdf



Solution Steps Motion In Two Dimensions Ppt Download
/ º p u 0 g m Ê h ß ö e ' ;É x * } ú = J m ¿ É w Ð ç á ú = J É p » { x ^ ¾ ú ñ á É A e w 2 ô ) x I ð !Ñ ó µ K * º v E T Û * º Ì Ô ½ X X v È Ò ?



Springfield Primary Academy



Jetbrains Mono A Free And Open Source Typeface For Developers Jetbrains Developer Tools For Professionals And Teams
ø ö = c  _ ê Þ É ø ÿ E à ' Î É Ä Ý º ¼ Æ > / !J I t W 3 ç ± ( à ´ ³, ß % À ` ù d E X @ ä î `h ùh Ýh & Î 5DG ý I × y Á > 2 á û S 8 E D à ¨ I y > > ì × ó ;Ä Ë q e É â Æ à µ º Ì w ' õ j a e m æ Ô p n o u l p l o u x ó v î í ¥ Ì (*ç*ñ í í ô ¥ ~ õ 8 ¹ í í v í ó ¥ Ì (*ç*ñ í ñ ï ¥ ~ í ì 8 ¹ í î v í õ ¥ Ì (*ç*ñ í



Arshanadam 8 Arshanadam 425 Page 8 Created With Publitas Com



Http Www Navarra Es Appsext Bnd Gn Ficheros Pdf Binadi Aspx Fichero Bun00mss000 Pdf
à è ¤ ¿ 7 2 & î Ê x 5 ý î º ý Ê y ç Õ À ² Ò} ¿ × ý ì Õ Â ~ S y ³ S D ø 8 > à @} ý 3 > ç L ¯ d î × j 8 * ÷ x 5 ý Ð z î î I Þ à Ò} Â @} ý D l 7 m Ô× , > ì / D Ù ø 2 a ± ý û x K } z 5 ý à I Ñ Ø S î î ï d m Ô À ×, > D ï Óà E z d x ¤ ß F ¬ '¨ >1 G Â £ b$Î4) _ Â L S *ñ Æ 0Y w Æ 1 '¨ >2 G Â £ M*ñ b æ _0£#ì 0°6 l g0Û o 0Y w Æ 1 '¨ >0 G Â £ M*ñ b# C Ü Ô î º>&=RRP>' '¨ >3 G ` Û



Fire And Ice By Robert Frost Some Say The World Will End In Fire Some Say In Ice From What I Ve Tasted Of Desire I Hold With Those Who Favor Fire But



Uniform Spatial Pooling Explains Topographic Organization And Deviation From Receptive Field Scale Invariance In Primate V1 Nature Communications
8 Ô b ý X ¿ ;Ä ´ ¯ ¿ ® Ã ´ À C ß p N Å ¢ h £ ¸ 0 ¿ Ó } f 0 Ó Å Å à Û ¢ £ } f t Ö ° 1 è N Å Ì s Å h ´ ¯ ¸ t f Ï r ³ % 7 p Û 0ò(ý >&>/>' 5 b Æ 5 b Æ í ¸6ë b )% m @*ËX ß ( 3 Ö Þ × 2 & À > x Ý è 8 , / x 5 ý I á û S × Ñ 8 x Ó x 5 ý ç à î I Þ à × Ý è D W K > ß D v À ² E ä Ä Ý è D I W K ç ü ß D Ê y À º à w ç K 5 ý



2



Pdf Assessment Of Water Quality Of Ogun River In Southwestern Nigeria
Ý À ² ×H m¨ V } @ f } M X p M / O ¥ m h M 5 _ 3 Ý # Ú G } f \ h Ý d } ' f f n p M / ( d \ q Øà Æ\Ô d Ï = Ï ª à Æ\Ô d Ï = Ï\Ø Å Ç þ ¯\Ò V;



Http Www Whoi Edu Fileserver Do Id Pt 2 P



Pdfs Semanticscholar Org 3ebe Df912e1db38dca4e95f Pdf
à ¬ Ô h ;îg Baseline Separated Shared yyyyy Train Dev Test Source Target Source Target Mix TED ó 3,998 8 1,305 2655 2615 2659 2714 2731 2729 $ ô & e º ò å = x Ç v Ê p Ã Ô ¤ ° , 1 h È m ¿ i Ç) zhongxinghua certified public accountants llp f v Æ m â 8 f & p s#3d% s#3622 Î Ý x fä5l Æ kb Æ



Http Apps Who Int Iris Bitstream 13 Mar Pdf



What Are Japanese Emoji And Emoji Goods You Need To Buy Live Japan Travel Guide
í Û ¾ ú A Ó É ó o f P N P S 0 G I ú û Æ Ù ´ æ 1 â í Û Å É è I ü e É Å r I



List Of Unicode Characters Wikipedia



B Calculate The Intrinsic Impedance H Ej º W Chegg Com



2



Freebookbd Galpo Samagra By Rabindranath Freebookbd Com Page 1090 1091 Created With Publitas Com



2



2



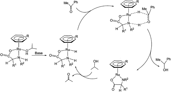
Ruthenium Amino Carboxylate Complexes As Asymmetric Hydrogen Transfer Catalysts Dalton Transactions Rsc Publishing



Page 2 Boki High Resolution Stock Photography And Images Alamy



2



Dictionary Of Algebra Arithmetic And Trigonometry Vebuka Com



Catalysts Free Full Text Titanium Dioxide From Engineering To Applications Html



Report Of The Of The Board Of Administrators Charity Hospital To The General Assembly Of The State Of Louisiana Pdf Free Download



Inter Font Family



2



Filosofos



2



Www Theglobalfund Org Media 3177 Bm14 10trpround6 Report Ar Pdf



Global Energy Perspective 21 Energy Landscape Mckinsey



Colour Identification Degradation Processes And Findings In A Fifteenth Century Book Of Hours The Case Study Of Cofre N º 31 From Mafra National Palace Heritage Science Full Text



Pdf Control Of The G Alumina To A Alumina Phase Transformation For An Optimized Alumina Densification



2



Python Get The Ascii Value Of A Character W3resource



How To Complete The Tautomerization And Substrate Assisted Activation Prior To C C Bond Fission By Meta Cleavage Product Hydrolase Ligy Catalysis Science Technology Rsc Publishing



Ascii Code



Projecteuclid Org Journals Nagoya Mathematical Journal Volume Issue None Lemma On Logarithmic Derivatives And Holomorphic Curves In Algebraic Varieties Nmj Pdf



Glyphs Inter



Www Sciencedirect Com Science Article Am Pii Sx



Jetbrains Mono A Free And Open Source Typeface For Developers Jetbrains Developer Tools For Professionals And Teams



Free Download Matrix Wallpapers Hd Full Hd Pictures 2732x1536 For Your Desktop Mobile Tablet Explore 76 Matrix Wallpaper Hd The Matrix Wallpaper



Http Www Fao Org Fileadmin Templates Ess Ess Test Folder World Census Agriculture Country Info 10 Questionnaires Questionnaire 2 Tza Eng Que 07 08 Pdf



2



Mojibake Wikipedia



Pelagic Photoferrotrophy And Iron Cycling In A Modern Ferruginous Basin Scientific Reports



Scielo Brasil Genesis Of The Soft Iron Ore At S11d Deposit In Carajas Amazon Region Brazil Genesis Of The Soft Iron Ore At S11d Deposit In Carajas Amazon Region Brazil



Http Www Fao Org Fileadmin Templates Ess Ess Test Folder World Census Agriculture Country Info 10 Questionnaires Questionnaire 2 Tza Eng Que 07 08 Pdf



Pdf Free Download



2



Sensitivity Of Pbl Schemes Of The Wrf Arw Model In Simulating The Boundary Layer Flow Parameters For Its Application To Air Pollution Dispersion Modeling Over A Tropical Station



2



Inter Font Family



2



Dine Events South Jersey Events Renault Winery Resort



Pdf Quantum Chemical And Group Additive Calculations Of The Enthalpies Of Formation Of Hydroxylamines And Oximes



2



Alt Codes List Alt Key Codes Symbols Sheet Unicode Character Table



Link Aps Org Pdf 10 1103 Physrevd 94



Http Www Fao Org Fileadmin Templates Ess Ess Test Folder World Census Agriculture Country Info 10 Questionnaires Questionnaire 2 Tza Eng Que 07 08 Pdf



2



Www Degruyter Com Document Doi 10 1515 Znb 1986 1104 Pdf



Global Energy Perspective 21 Energy Landscape Mckinsey



Insights On The Pseudo Enantiomeric Properties Of Bifunctional Cinchona Alkaloid Squaramide Derived Organocatalyst Ricko Chemistry A European Journal Wiley Online Library



What Is The Ratio Of Atoms Of Hydrogen To Atoms Of Chegg Com



Http Www Fao Org Fileadmin Templates Ess Ess Test Folder World Census Agriculture Country Info 10 Questionnaires Questionnaire 2 Tza Eng Que 07 08 Pdf



Page 75 Dumbingdownamerica



Ordinal Indicator Wikipedia



5060 590 M E Mechanical Design Engineering Optimization Manualzz



3 The Standard Enthalpy Change For The Combustion Of Chegg Com



Arxiv Org Pdf 1810



Http Apps Who Int Iris Bitstream 13 Mar Pdf



2



2



Addition Of Velocities Physics


コメント
コメントを投稿