【印刷可能】 fXe nCXRA 295459
The Total Pair Distribution Functions G X R A C And G N R Download Scientific Diagram
fXe nCXRA
fXe nCXRA-



Mitopedia Terms And Abbreviations Bioblast



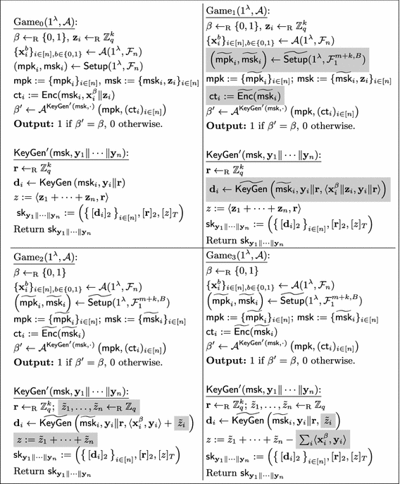
Multi Input Inner Product Functional Encryption From Pairings Springerlink



The Total Pair Distribution Functions G X R A C And G N R Download Scientific Diagram



Exercise Sheet 4 Primitive Recursive Functions Primitive Inria



18 103 Fall 13 1 Fourier Series Part 1



Solved Let F X E 1 X 2 If X Notequalto 0 0 If X 0 Chegg Com



Function Mathematics Wikipedia



3 Let F G A Bl R Be Functions Such That F Is Integrable G Is Continuous And G X 0 For Homeworklib



Mitopedia Terms And Abbreviations Bioblast



Final Review Summary Calculus With Applications Math 11b Final Review Problems Studocu



Hw03sol Homework 3 Solutions Studocu



How To Explain If Function Is Polynomial Or Not Youtube



Linear Functions



Galois Theory Iii Splitting Fields Pdf Free Download



An Exponential Chebyshev Second Kind Approximation For Solving High Order Ordinary Differential Equations In Unbounded Domains With Application To Dawson S Integral Topic Of Research Paper In Mathematics Download Scholarly Article Pdf And



Let F 0 1 R The Set Of All Real Numbers Be A Function Sup



Sony Tv Model Numbers By Year 12 Explained Tab Tv



Question Video Finding The Maclaurin Series Of An Exponential Function Nagwa



Iphone Xs Vs Xs Max Vs Xr How To Pick Between Apple S Three New Phones The Verge



Real Analysis 1 2 3 4 8please 5 1 5a Thus Iff I R Is Differentiable On N E N Is Differentiable On With G 39 Homeworklib



Ontario Sessional Papers 17 No 15 05 Nt Lt Coi I Hooo Ioc Lt Ii H Oo Onoc Lt It Ao3v E05 Tocncia E Lt Ir Ic5 C Moc Lt Ic Lt 5c Lt Iooi I I30coa 05t Oc Lt I A Moo Hou3coi C Cc35c5ioo5a Lt C5w Hlo Qc Lt 3 R Ia C5 Eo O M A Lt Lt



Solved Let F X E 1 X 2 If X Notequalto 2 0 If X 0 Chegg Com



Annual Reports Of The Boards To The General Assembly S U Hh 2 S S 1 I A Lt O W Lt E Fi 5 H Missions



Solved 6 A Let F R R Be The Function Defined By F X Chegg Com



Pdf On Superlinear Problems Without The Ambrosetti And Rabinowitz Condition



The Real Number E Boundless Algebra



Derivative Calculator With Steps



Probability And Stochastic Processes 3rd Edition Quiz Solutions



Answered 2 Given A 1 2 3 B 7 Apple 5 Bartleby



The Fundamental Theorem Of Calculus And Accumulation Functions Video Khan Academy



Question 1 Compute The Derivative Of The Following Functions 2 4 B F X A F X 23x 1 Tan D F X T2 1 C F X Homeworklib



Let F 0 Oo Rarr Rr Be Given By F X Int 1 X X E T 1 T



Film Clips Ppt Download



Answered 12 Let X X En And 1 B X X R Bartleby



Exponential Function Wikipedia



Science Words



Integral Calculator Integrate With Wolfram Alpha



Here We Consider The Well Known Function F X E Chegg Com



1 If F 0 1 R Is Continuous Z F X Dx F C



Exponential Family Distribution And Sufficient Statistic Mathematics Stack Exchange



Question About Newton S Interpolation And Rootfinding Mathematics Stack Exchange



E Mathematical Constant Wikipedia



How To Run Chkdsk F R X To Fix Hard Drive Errors Windows 10 Easeus



Calameo Ejercicios Resueltos De Funciones



Answered A Use Differentiation To Find A Power Bartleby



Function Definition Types Examples Facts Britannica



Introduction To Exponential Functions



Solved Let F G A X R And F X 0 For All X E A Chegg Com



Number 7 How Did They Get That Answer The Problem Says Find The Derivative F X 5x 2x Calculus



Real Analysis 2 Final Exam Sample Problem Solutions



The Real Number E Boundless Algebra



Exponential Function Wikipedia



Let F X And G X Be Real Valued Functions Such That F X G X



W S 1 Factorizing Algebraic Expressions



Consider F X X Sinx G X Cos 1 E X 4 2 And H X Tan 1 2x 1 X 2 Youtube



Probability And Stochastic Processes 3rd Edition Quiz Solutions


コメント
コメントを投稿