√100以上 ¯^ V[g C[ Et 113917-Vg cet
Gcet 21 Dates Announced By Dte Goa Exam Will Be Held On May 4 And 5
Vg cet
Vg cet-


Cetme rd Steel Magazine Spanish Cetme C C308 7 62x51 308 Surplus Cet 4106 Rtg Parts


Minnesota Spring Special Holstein Sale 17 By Cowsmopolitan Issuu


Solved Ifa V O G U R T And U A B C D E F G H Chegg Com


I I E B U T L E M F Cl E S T O E N T Auf Hass 3af V I 8 18 Ason Ber Xx Etucf Wc Cn Wieb


Pin On Football Sport Predictions Com


Phonetics The Sounds Of Language Ppt Download


Probabilistic And Exact Frequent Subtree Mining In Graphs Beyond Forests Springerlink


Frost On Chickens Effects Of Organic Selenium And Zinc On The Aging Process Of Laying Hens


Shopvgc


Conservation Of The Glycoprotein B Homologs Of The Kaposi S Sarcoma Associated Herpesvirus Kshv Hhv8 And Old World Primate Rhadinoviruses Of Chimpanzees And Macaques Sciencedirect


Release Notes Cet Designer 10 5 Configura Help Center


A B F G J M Q R T U X Gymnomitrion Parvitextum C E H I Download Scientific Diagram


New Generations Genetics April 15 Sire Catalog By Cowsmopolitan Issuu


Graphitic Carbon Nitride Graphene Nanoflakes Hybrid System For Electrochemical Sensing Of Dna Bases In Meat Samples Scientific Reports


Electrolyte Gated Transistors For Neuromorphic Applications


O C N P C


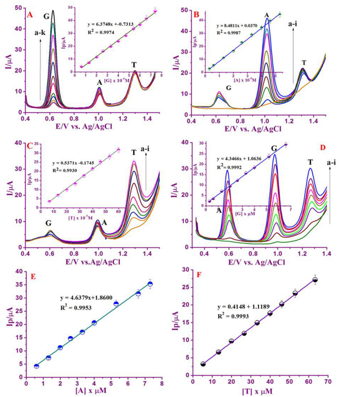
Micromachines Free Full Text Simultaneous Determination Of Four Dna Bases At Graphene Oxide Multi Walled Carbon Nanotube Nanocomposite Modified Electrode Html


More Similarities Than Differences Testing Insulin Glargine 300 Units Ml Versus Insulin Degludec 100 Units Ml In Insulin Naive Type 2 Diabetes The Randomized Head To Head Bright Trial Diabetes Care


Biosensors Free Full Text Graphene Oxide Nanoribbons In Chitosan For Simultaneous Electrochemical Detection Of Guanine Adenine Thymine And Cytosine Html


Premium Vector Set Of Creative Letter C And Letter G Logo Template


Neonatal Progeroid Variant Of Marfan Syndrome With Congenital Lipodystrophy Results From Mutations At The 3 End Of Fbn1 Gene Sciencedirect


Tgcet Online Application 21 Tg Gurukul V Tg Cet 5th Class Admission Online Application 2 At Tgcet Cgg Gov In


Solved 1 Verify That Each Given Function Is A Solution O Chegg Com


Russian Lawsuit Calls For Twitch Block Vgc


Stratified Reconstruction Of Ancestral Escherichia Coli Diversification Bmc Genomics Full Text


Cetme rd Steel Magazine Spanish Cetme C C308 7 62x51 308 Surplus Cet 4106 Rtg Parts


Cv Recorded For Dopamine 100 Mm In Phosphate Buffer Solution Ph 7 0 Download Scientific Diagram


Solved 3 8 Pts 4 Points Each Let Graph G V E Be Chegg Com


Surface To Volume Scaling And Aspect Ratio Preservation In Rod Shaped Bacteria Elife


Luxembourgish Language Alphabet And Pronunciation


Energetic Dependencies Dictate Folding Mechanism In A Complex Protein Pnas


Tgcet Result 21 Check At Tgcet Cgg Gov In For Tg Gurukul Cet 5th Class Entrance Test


Gcet Result Out Answer Key Syllabus


Pdf Google Llc V Commission Nationale De L Informatique Et Des Libertes Cnil


Nutrition Therapy Recommendations For The Management Of Adults With Diabetes Diabetes Care


In Silico Identification Of Genetic Variants In Glucocerebrosidase Gba Gene Involved In Gaucher S Disease Using Multiple Software Tools Abstract Europe Pmc


How To Type Math Pi Math On A Ti 84 Plus Ce Calculator Quora


Vgc Tournament Stats A Twitter Gigantamax Solar Power Charizard On The Other Hand Can Only Be Found In Extremely Rare Raids It Has The Same Spawn Rate As All The Other Banned


B A P S 1997 High Resolution Stock Photography And Images Alamy


T P Phase Diagram Of Ce Metal With The First Order Transition T V Download Scientific Diagram


Silent E Teaching Kids The Whole Truth Downloads


Question 5 Points Given A Graph G V E A Chegg Com


Gcet Iste Student Chapter Linkedin


Supreme Court Of Canada Appeal Judgment Rendered Today Sccappeal T Co Khefrq5lnl


Bacterial Cell Cycle Control By Citrate Synthase Independent Of Enzymatic Activity Biorxiv


Exact Localisations Of Feedback Sets Springerlink


N E T Real Tobacco Flavor In A Vape Juice Net Creations And Reviews E Liquid Recipes Forum


Efficient Computation Of Optimal Temporal Walks Under Waiting Time Constraints Applied Network Science Full Text


Exercise 2 10 Points Let G V E Be A Directed G Chegg Com


Fgl60n100bnt D 1000 V 60 A Npt T Rench Igbt Manualzz


The Offspring 09 Concert Tour T Shirt Used Vgc Punk Rock Size Large L Ebay


Bibliography


Gcet 21 Dates Announced By Dte Goa Exam Will Be Held On May 4 And 5


Polyglutamylation An Overview Sciencedirect Topics


Msfa Frostburg Convention Page 2 Cet June 12 15 Newspapers Com


The Rise Of Continuous Flow Biocatalysis Fundamentals Very Recent Developments And Future Perspectives Reaction Chemistry Engineering Rsc Publishing


Solved One Ids Vds Curve O Et Is Shown In Fig 6 43 No Chegg Com


Seine Et Oise Wikipedia


Dean G Gatien C E T Icd D Principal Dgg5 Advising Linkedin


So Good Premium Pg Vg E Liquid E Juice Fruity Flavor 10ml Cherry 3mg Ml Vape Store Us


Graph Representation Adjacency List Representation Of G V E Ppt Download


Solved Use Calculus And Identify The Correct Solution For Chegg Com


Impact Of Nano Morphology Lattice Defects And Conductivity On The Performance Of Graphene Based Electrochemical Biosensors Journal Of Nanobiotechnology Full Text


Amazon Com Massaging Toys Men Relaxation Vibrator V Be Ring For Couples T Me Wand Powerful Male C Ckring Male T Shirt Penisr Ngs C Ock R Ng Cl T Stimulator Sextor Toys G Spot Health Personal Care


Agronomy Free Full Text Anti Transpirant Effects On Vine Physiology Berry And Wine Composition Of Cv Aglianico Vitis Vinifera L Grown In South Italy Html


Application Of The Synchronized B Grid Staggering For Solution Of The Shallow Water Equations On The Spherical Icosahedral Grid In Monthly Weather Review Volume 147 Issue 7 19


O C N P C


Density Of States Wikipedia


Saint Saens Introduction Et Rondo Capriccio Pb Score Vg Violin Piano Ebay


Reduced Folate Carrier An Entry Receptor For A Novel Feline Leukemia Virus Variant Journal Of Virology


Lcce4niwf9csom


Discovering Large Conserved Functional Components In Global Network Alignment By Graph Matching Springerlink


Toxins Free Full Text A Deeper Examination Of Thorellius Atrox Scorpion Venom Components With Omic Technologies Html


6 Year Old Wwii French Resistance Agent Honored At Long Last


G H Patel College Of Engineering Technology Linkedin


Vibrational Hierarchy Leads To Dual Phonon Transport In Low Thermal Conductivity Crystals Nature Communications


Vgc International College Home Facebook


Solved 3 Consider The Grammar G V T E P With V E I Chegg Com


In Hot Pursuit Top 4 Pokemon Vgc Dallas Regionals Warstory By ron Traylor Medium


Vgc Partners Linkedin


Improved Budgeted Connected Domination And Budgeted Edge Vertex Domination Springerlink


Hw08sol Assignment 8 Solution Studocu


コメント
コメントを投稿